Appuyer sur le bouton de la réponse correcte
Montrer toutes les questions
Question précédente
Question suivante
?
0 solution réelle
?
une solution réelle
?
deux solutions réelles
?
une infinité de solutions réelles
?
?
?
?
Une baisse de 10 % suivie d'une hausse de 15 % revient à :
?
une hausse de 5%
?
une hausse de 3.5 %
?
une hausse de 35 %
?
une hausse de 1.035 %
?
?
?
Aucune des autres réponse n'est correcte
?
Si 8 objets identiques coûtent 32 euros, alors 3 d'entre eux coûtent
?
12 euros
?
?
?
Aucune des autres réponses n'est exacte
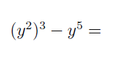
On a :
?
Aucune des autres réponses n'est exacte
?
?
?
?
?
?
?
?
?
?
?
?
?
?
Aucune des autres réponses n'est exacte
?
?
?
?
?
OK